Skip to content
FacebookInstagram
  • WSD Schools
    • Early Learning Programs
    • Cape Horn-Skye Elementary
    • Columbia River Gorge Elementary
    • Gause Elementary
    • Hathaway Elementary
    • Canyon Creek Middle School
    • Jemtegaard Middle School
    • Washougal High School
    • Washougal Learning Academy
  • WSD Jobs
  • District News
  • Calendar
  • Staff
  • Contact
WSD Logo WSD Logo WSD Logo
  • Our District
    • Vision & Strategic Plan 2026-2031
    • Equity and Student Voice
    • Events
    • History
    • Newsletter, Annual Report, & SIP Plans
    • Organizational Chart
    • Partners In Education
    • Public Record Request
    • School Boundaries
    • Staff Directory
    • Volunteer
    • Wellness Committee
  • Teaching & Learning
    • Career and Technical Education (CTE)
    • Community Education and Recreation
    • Early Learning
      • Community Education Preschool
    • Grants
    • Highly Capable
      • Multi-Disciplinary Selection Team
    • Instructional materials committee
    • PGES
    • Professional Learning Communities
    • School Nurse Services
      • General Health Issues
      • Immunizations
    • Special Education
    • Staff Development
    • Student Services
    • Technology
      • Inventory/Surplus
  • Families
    • Parent Access to Student Information
    • Annual Parent Notifications
    • College Requirements and Scholarships
    • Family Community Resource Center
    • Homeschool Information
    • New Student Registration
    • ParentSquare
    • Recursos en Español / Spanish Resources
    • Report a Safety Concern
    • School Boundaries
    • School Counseling Center
    • Students Experiencing Homelessness
  • Business & Operation
    • Associated Student Body (ASB) Funds
    • Business Office
      • Request for Proposals
    • District Budget Information
    • Facilities/Capital Projects
    • Culinary Services
    • Facility Use
    • Human Resources
    • Washougal School District Renewal Levies
    • Maintenance
    • Transportation
  • School Board
    • Board Goals
    • Board Members
    • Board Policies
    • Map of Board Zones
    • Meeting Dates
    • Meeting Minutes & Recordings
    • Policy Governance

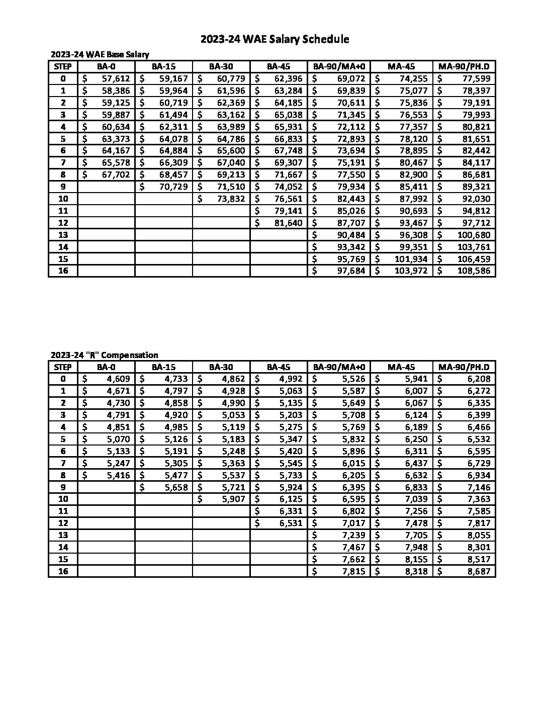
Pay scale for teachers 2023-2024

Pay scale for teachers 2023-2024Lester Brown2023-09-13T16:51:56-07:00

Get in Touch

Washougal School District
4855 Evergreen Way,
Washougal, WA 98671

Tel: 360.954.3000
Fax: 360.954.3099
Hours: 9:00am to 3:30pm

Contact us >

Our Vision

We are Washougal. We grow, enrich, and inspire the future.

Suicide Prevention and Mental Health Support

Dial 988 for mental health crisis support

View Resources

Student safety information from the WA Dept. of Health

Popular Pages

  • Emergency Information
  • School Calendar
  • School Lunch Menu
  • Current Job Postings
  • Find a School
  • Staff Directory

Washougal School District © 2026 All Rights Reserved.

Notice of Nondiscrimination | Accessibility | Privacy Policy

Page load link
Go to Top